折射率,作为描述光在介质中传播速度变化的重要物理参数,是物质的关键光学特征之一。无论是实验室的基础光学实验,到工业领域的光学产品生产,再到高端光学仪器的校准,都离不开折射率的精准测量。而完成这一关键任务的仪器,正是折射率测量仪。
什么是折射率测量仪
折射率测量仪是一种专门用于精准测定光学玻璃、晶体、液体等透明 / 半透明介质折射率的光学检测仪器,还可拓展测量棱镜顶角等参数,是光学材料研发、生产、检测领域的核心设备,能在特定光谱范围下,通过标准化光学原理获取介质的折射率数值,为光学材料的性能判定、光路设计提供精准数据支撑。

仪器工作原理
折射率测量仪采用最小偏向角法测量折射率。光线由一种介质进入另一种介质时,在界面发生折射,根据费涅尔折射定律有:
n1sinθ2=n2sinθ1光通过三棱镜的折射如图所示:

入射光与反射光延长线的夹角δ称为偏向角。偏向角是一个变化的角,从理论和实验都可
以证明当入射光线ε1和出射光线ε2处于光路对称时,即ε1=ε2时,偏向角最小,记为δmin,称为最小偏向角。当δ=δmin时,光线对称地通过棱镜,如下图所示:

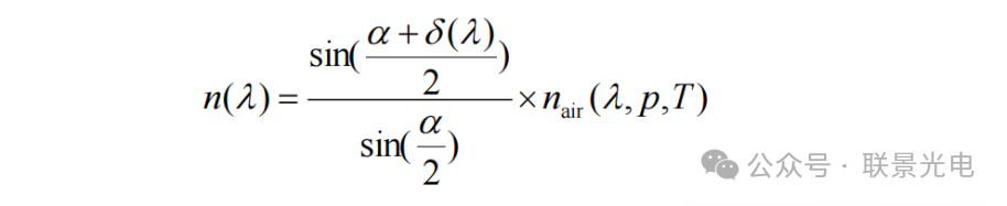
根据图中的几何关系,以及折射率公式,我们可以得到三棱镜对某单色光的折射率n与最
小偏向角和顶角的关系:

由上式可以看出:只要测出棱镜的顶角a和最小偏向角δmin,就可算出棱镜对该单色光的折射率n。
设备主要构成
核心光学系统:
仪器的望远镜系统和平行光管系统采用高精度滤光片及配套的分划板,电子自准直仪分辨率达0.01秒,重复性为±0.2秒,为精确测量提供了可靠保障。
精密工作台系统:
工作台采用精密气浮轴承,径向和轴向抖动优于0.05μm,配备带有高精度旋转编码器的双轴旋转工作台,确保角度测量的准确性。
